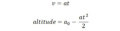
I have been reading about Felix Baumgartner’s attempt on the world skydiving altitude record, held for the last 50 years by Joseph Kittinger. Felix plans to jump from a gondola attached to a helium balloon at 120,000ft (or 36,500 meters), and the big question no one is sure about is if he will go supersonic. Personally I think the big question is why. SolidWorks can’t answer the why, but it can shed light of the question of supersonic sky diving. The trick to all analysis is the KISS principle (Keep It Simple Stupid), so let’s start with a bit of school yard physics and ignore air resistance and assume a zero initial velocity. These equations of motion then simplify to give us a solution to Felix’s velocity and altitude;

Looking at the first 40 seconds of Felix’s jump, in table 1 without air resistance, we can see that he builds up a pretty impressive velocity and quickly breaks the sound barrier. Now the speed of sound changes with altitude, but as the sky diver falls lower the air resistance increases. So what comes first the sound barrier or the sky diver’s terminal velocity?
Time
Velocity (m/s)
Altitude
Approx speed of Sound (m/s)
Comments
0
0
36,500
310.1
10
98.1
36,086
310.1
15
147.15
35,472
Subsonic flow
20
196.2
34,614
306.5
25
245.25
33,510
30
294.3
32,162
303.0
Transonic flows ?
32.5
318.8
31,395
35
343.35
30,567
Supersonic flow
40
392.4
28,728
300.4
Let’s take Jimmy from the beer can conundrum and slap on a pressure helmet and a parachute (yes I know he looks like Rocket Man from the 1950s but humor me please) and put him to the test. The drag experienced by Jimmy will be influenced by his position, so lets assume a normal stable belly down position (fig1). Once more I ask you to bear with me as I am not a skydiver, so the position may be a bit off.

Figure 1 Stable ‘Belly Down’ Sky Diver
As Jimmy falls he will experience two opposing forces;
An accelerating force Fg = mg
And a retarding drag Fd = Cd 1/2?V2A
So the question is would Jimmy reach the speed of sound? It’s time to fire up SolidWorks Flow Simulation and do a quick calculation. Let’s look at the airflow around Jimmy after 25 seconds of free fall. At this time ignoring the drag Jimmy should be still be sub sonic, but we can see from the results that local areas of supersonic flow are developed as the flow accelerates around Jimmy. After 25 seconds of free fall (assuming that Jimmy and kit weighs in at 100kg) our force balance looks like;
An accelerating force Fg = 981N
And a retarding drag Fd = 215N
So Jimmy is still accelerating.


Now let’s look at Jimmy after 32.5 seconds of free fall when our simple calculation estimates that Jimmy would be going supersonic.


Ignoring the effects of drag on Jimmy’s freefall velocity predicts an ever increasing Mach number. But after three or so runs at different velocities and altitudes we have enough data to estimate the effect of the air resistance on the free fall velocity.

With the data from SolidWorks Flow Simulation we can predict that the estimated maximum velocity of Jimmy’s free fall stays below the speed of sound. Jimmy would be able to considerably increase his freefall velocity if he adopted a ‘head down’ position, but that calculation is for another day.
So the next time you decide to break a speed record check your physics first with SolidWorks Simulation.
