1. SOLIDWORKS Simulation: Mechanism Design

3D CADOctober 1, 2014

SOLIDWORKS Simulation: Mechanism Design

Designing mechanisms is a comparatively challenging task and needs fair amount of…
AvatarKapil Gaitonde
Share

Designing mechanisms is a comparatively challenging task and needs fair amount of expertise. Normally designers use past experience, existing designs or manual sketches to conclude on a working mechanism. And ultimately they need to create multiple prototypes to ensure their models work as expected.

For obvious reasons this leads to lack of innovation and creativity required in such mechanisms. The other aspect of mechanism design is understanding the forces active in the different parts at different time instant and decide the appropriate capability of the motors/actuators. And finally, everyone wants to visualize the mechanism before it is manufactured.

SOLIDWORKS has come with a new module called Simulation Standard, which can precisely simulate the above discussed points and help designers design mechanisms.

This video provides a good example of what a simulation looks like:

Here’s a quick overview of how it works. In SOLIDWORKS we have something called mates which helps users define the way two parts are connected and how they behave when forces are transferred from one to another. Here’s an example:

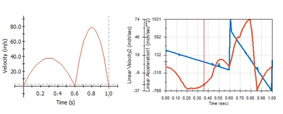
Mates are used to assemble different parts into an assembly and also to ensure that the assembly works as expected. I would say this is the foundation and most important part of the process to Simulate mechanisms. The only additional step to be done in SOLIDWORKS Simulation Standard is to add Motors, Actuators, forces, Springs etc., which are leading to the movement. On solving, one can understand if this particular mechanism works, create graphs which show the force variation over a period of time, determine torque required for working of this mechanism and the path taken by different components. A few images showing the graphical outputs are pasted below.

As it can be difficult to put all these points in text, I’ve created a video to show you how it works:

Subscribe

Register here to receive a monthly update on our newest content.

Get the latest articles in your inbox.

Receive updates on content you won’t want to miss!