SOLIDWORKS has different licensing options designed to meet the varying needs of our customers and users. In the software industry, licensing generally falls into one of two categories; perpetual licenses (i.e. purchase to own, with optional subscription service) and term licenses (i.e. pay as you use the software for a specific period, such as 90 or 360 days). SOLIDWORKS has offerings in both of these categories and customers can use either or both of these options depending on their needs.

A perpetual license is far and away the most popular option for SOLIDWORKS customers. A perpetual license, as the name implies, never expires.
Someone who purchased SolidWorks 95 many years ago without subscription support could theoretically run the license in perpetuity, so long as there is a computer and operating system that are available and operational to run the software. A perpetual license with subscription support provides you access to the latest releases and service packs, technical support, Knowledge Base solutions, Customer Portal, MySolidWorks resources, etc. to fully optimize your investment in SOLIDWORKS.
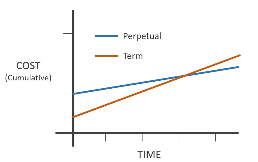
Perpetual licensing with subscription offers the lowest total cost of ownership over the long haul. Customers also have the peace of mind that by outright owning their software (Subject to License Agreement), they are guaranteed that the data and intellectual property that they author will always be accessible and available. Customers choosing perpetual licenses have existing product lines that are continually improved and upgraded, have R&D efforts for new products in the pipeline or under consideration, or have projects or consultancies anticipated well into the future. Funding for engineering software such as SOLIDWORKS usually come from capital expenditure (capex) budgets.
Term licenses by contrast, offer a considerably lower upfront initial investment that is attractive to startups and venture funded companies or where the future or direction of the product, company or service is still not fully determined or realized.

Term licenses are often purchased from operating (opex) as opposed to capital budgets and offer the most flexibility to meter up or down the amount of software licenses you need at any moment in time, and have subscription support built directly into the offer.

Today, term licenses are available for SOLIDWORKS and SOLIDWORKS Simulation (in all countries and all categories; i.e. Standard, Professional and Premium). However more products are under consideration.
Many vendors in the software industry are foregoing perpetual licenses and are only offering term licenses for many of their titles. Examples of this are Adobe and Autodesk, and more recently PTC who has announced they will no longer offer perpetual licenses in some regions including the Americas and Western Europe beginning January 1, 2018.
At SOLIDWORKS we have no plans to stop selling or retire perpetual licenses. We understand that perpetual and term serve different needs, and there is no one-size-fits-all approach for license provisioning that meets all our customers’ needs.
In our next blog post, we will examine Standalone versus Network (SNL or “floating”) licensing options.
